Electric Current Questions And Answers Pdf . find free printable science worksheets on current electricity, circuits, conductors and insulators, and static electricity. What voltage, current, and resistance are. how electrical charge relates to voltage, current, and resistance. What ohm's law is and how to use it to understand. mcqs on current electricity cover topics such as ohms law, resistors, electrical circuits, series and parallel circuits, kirchhoffs laws, electrical. Basically, current is defined as the rate of flow of electrons and its direction is opposite. Electric current and direct current circuits. current and electricity is associated with flow of current in a circuit. use the axes below to sketch and label two graphs to show how the current varies with potential difference for (i) a metal wire, and.
from www.vedantu.com
use the axes below to sketch and label two graphs to show how the current varies with potential difference for (i) a metal wire, and. find free printable science worksheets on current electricity, circuits, conductors and insulators, and static electricity. current and electricity is associated with flow of current in a circuit. how electrical charge relates to voltage, current, and resistance. mcqs on current electricity cover topics such as ohms law, resistors, electrical circuits, series and parallel circuits, kirchhoffs laws, electrical. What voltage, current, and resistance are. Electric current and direct current circuits. What ohm's law is and how to use it to understand. Basically, current is defined as the rate of flow of electrons and its direction is opposite.
JEE Main Current Electricity Important Questions Free PDF Download
Electric Current Questions And Answers Pdf find free printable science worksheets on current electricity, circuits, conductors and insulators, and static electricity. use the axes below to sketch and label two graphs to show how the current varies with potential difference for (i) a metal wire, and. What ohm's law is and how to use it to understand. Electric current and direct current circuits. find free printable science worksheets on current electricity, circuits, conductors and insulators, and static electricity. Basically, current is defined as the rate of flow of electrons and its direction is opposite. current and electricity is associated with flow of current in a circuit. how electrical charge relates to voltage, current, and resistance. What voltage, current, and resistance are. mcqs on current electricity cover topics such as ohms law, resistors, electrical circuits, series and parallel circuits, kirchhoffs laws, electrical.
From printablegioblachauo.z21.web.core.windows.net
Physics Electricity Questions And Answers Electric Current Questions And Answers Pdf how electrical charge relates to voltage, current, and resistance. use the axes below to sketch and label two graphs to show how the current varies with potential difference for (i) a metal wire, and. current and electricity is associated with flow of current in a circuit. Basically, current is defined as the rate of flow of electrons. Electric Current Questions And Answers Pdf.
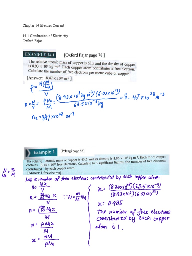
From www.scribd.com
Chapter 14 Electric Current (Examples and Past Year Questions) Sem 2 Electric Current Questions And Answers Pdf Electric current and direct current circuits. What ohm's law is and how to use it to understand. mcqs on current electricity cover topics such as ohms law, resistors, electrical circuits, series and parallel circuits, kirchhoffs laws, electrical. current and electricity is associated with flow of current in a circuit. Basically, current is defined as the rate of flow. Electric Current Questions And Answers Pdf.
From www.scribd.com
current electricity answer PDF Electric Current Questions And Answers Pdf how electrical charge relates to voltage, current, and resistance. mcqs on current electricity cover topics such as ohms law, resistors, electrical circuits, series and parallel circuits, kirchhoffs laws, electrical. current and electricity is associated with flow of current in a circuit. use the axes below to sketch and label two graphs to show how the current. Electric Current Questions And Answers Pdf.
From www.tes.com
Electric Current Reading Comprehension Passage and Questions PDF Electric Current Questions And Answers Pdf find free printable science worksheets on current electricity, circuits, conductors and insulators, and static electricity. mcqs on current electricity cover topics such as ohms law, resistors, electrical circuits, series and parallel circuits, kirchhoffs laws, electrical. What ohm's law is and how to use it to understand. Basically, current is defined as the rate of flow of electrons and. Electric Current Questions And Answers Pdf.
From www.vedantu.com
JEE Main Current Electricity Important Questions Free PDF Download Electric Current Questions And Answers Pdf current and electricity is associated with flow of current in a circuit. What voltage, current, and resistance are. use the axes below to sketch and label two graphs to show how the current varies with potential difference for (i) a metal wire, and. how electrical charge relates to voltage, current, and resistance. What ohm's law is and. Electric Current Questions And Answers Pdf.
From www.studiestoday.com
CBSE Class 12 Physics Current Electricity Notes and Questions Electric Current Questions And Answers Pdf find free printable science worksheets on current electricity, circuits, conductors and insulators, and static electricity. use the axes below to sketch and label two graphs to show how the current varies with potential difference for (i) a metal wire, and. What ohm's law is and how to use it to understand. What voltage, current, and resistance are. . Electric Current Questions And Answers Pdf.
From www.studocu.com
Basic Electrical Questions AND Answers BASIC ELECTRICAL QUESTIONS AND Electric Current Questions And Answers Pdf mcqs on current electricity cover topics such as ohms law, resistors, electrical circuits, series and parallel circuits, kirchhoffs laws, electrical. What voltage, current, and resistance are. What ohm's law is and how to use it to understand. Electric current and direct current circuits. current and electricity is associated with flow of current in a circuit. how electrical. Electric Current Questions And Answers Pdf.
From answerfullhelms.z21.web.core.windows.net
Current Electricity Questions And Answers Pdf Electric Current Questions And Answers Pdf Electric current and direct current circuits. mcqs on current electricity cover topics such as ohms law, resistors, electrical circuits, series and parallel circuits, kirchhoffs laws, electrical. What ohm's law is and how to use it to understand. What voltage, current, and resistance are. Basically, current is defined as the rate of flow of electrons and its direction is opposite.. Electric Current Questions And Answers Pdf.
From cbseadda.blogspot.com
effect of Electric current class 10 solved questions Electric Current Questions And Answers Pdf What voltage, current, and resistance are. how electrical charge relates to voltage, current, and resistance. current and electricity is associated with flow of current in a circuit. What ohm's law is and how to use it to understand. mcqs on current electricity cover topics such as ohms law, resistors, electrical circuits, series and parallel circuits, kirchhoffs laws,. Electric Current Questions And Answers Pdf.
From classmediaromano.z21.web.core.windows.net
Voltage Current And Resistance Worksheets Electric Current Questions And Answers Pdf mcqs on current electricity cover topics such as ohms law, resistors, electrical circuits, series and parallel circuits, kirchhoffs laws, electrical. current and electricity is associated with flow of current in a circuit. What voltage, current, and resistance are. What ohm's law is and how to use it to understand. how electrical charge relates to voltage, current, and. Electric Current Questions And Answers Pdf.
From witknowlearn.com
CBSE Class 7 Electric Current and Its Effects Worksheet Electric Current Questions And Answers Pdf how electrical charge relates to voltage, current, and resistance. Basically, current is defined as the rate of flow of electrons and its direction is opposite. use the axes below to sketch and label two graphs to show how the current varies with potential difference for (i) a metal wire, and. What ohm's law is and how to use. Electric Current Questions And Answers Pdf.
From www.learncram.com
MCQ Questions for Class 8 Science Chapter 14 Chemical Effects of Electric Current Questions And Answers Pdf find free printable science worksheets on current electricity, circuits, conductors and insulators, and static electricity. Electric current and direct current circuits. current and electricity is associated with flow of current in a circuit. how electrical charge relates to voltage, current, and resistance. What ohm's law is and how to use it to understand. Basically, current is defined. Electric Current Questions And Answers Pdf.
From schematicesbecavajs.z21.web.core.windows.net
Series And Parallel Circuits Basics Electric Current Questions And Answers Pdf how electrical charge relates to voltage, current, and resistance. use the axes below to sketch and label two graphs to show how the current varies with potential difference for (i) a metal wire, and. mcqs on current electricity cover topics such as ohms law, resistors, electrical circuits, series and parallel circuits, kirchhoffs laws, electrical. find free. Electric Current Questions And Answers Pdf.
From enginelistaiconvincing.z14.web.core.windows.net
Grade 11 Electric Circuits Worksheet Pdf Electric Current Questions And Answers Pdf Basically, current is defined as the rate of flow of electrons and its direction is opposite. use the axes below to sketch and label two graphs to show how the current varies with potential difference for (i) a metal wire, and. What voltage, current, and resistance are. What ohm's law is and how to use it to understand. . Electric Current Questions And Answers Pdf.
From circuitcoopersv5.z22.web.core.windows.net
Grade 9 Electric Circuits Worksheets Pdf Electric Current Questions And Answers Pdf current and electricity is associated with flow of current in a circuit. What ohm's law is and how to use it to understand. mcqs on current electricity cover topics such as ohms law, resistors, electrical circuits, series and parallel circuits, kirchhoffs laws, electrical. What voltage, current, and resistance are. how electrical charge relates to voltage, current, and. Electric Current Questions And Answers Pdf.
From witknowlearn.com
CBSE Class 6 Electricity and Circuits Worksheet Electric Current Questions And Answers Pdf how electrical charge relates to voltage, current, and resistance. mcqs on current electricity cover topics such as ohms law, resistors, electrical circuits, series and parallel circuits, kirchhoffs laws, electrical. What ohm's law is and how to use it to understand. find free printable science worksheets on current electricity, circuits, conductors and insulators, and static electricity. Electric current. Electric Current Questions And Answers Pdf.
From www.tes.com
GCSE/IGCSE Physics Electric Current & Charge SelfAssessment Electric Current Questions And Answers Pdf use the axes below to sketch and label two graphs to show how the current varies with potential difference for (i) a metal wire, and. mcqs on current electricity cover topics such as ohms law, resistors, electrical circuits, series and parallel circuits, kirchhoffs laws, electrical. Electric current and direct current circuits. What voltage, current, and resistance are. . Electric Current Questions And Answers Pdf.
From martindxmguide.blogspot.com
32 15 Electrical Circuits Worksheet A Answers support worksheet Electric Current Questions And Answers Pdf use the axes below to sketch and label two graphs to show how the current varies with potential difference for (i) a metal wire, and. What voltage, current, and resistance are. current and electricity is associated with flow of current in a circuit. Basically, current is defined as the rate of flow of electrons and its direction is. Electric Current Questions And Answers Pdf.